Сайт открыт 12 июля 2002 года. Главный сайт города Ярцево*
24.06.2018

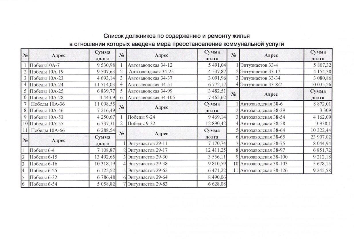
Управляющая компания «ЕДИНСТВО» продолжает борьбу с должниками.

Управляющая компания «ЕДИНСТВО» продолжает борьбу с должниками.

Управляющая компания «ЕДИНСТВО» продолжает борьбу с должниками. По многочисленным просьбам добросовестных жильцов мы публикуем списки жителей, накопивших долги за услугу «ремонт содержание жилья», также подобные списки мы вывешиваем на подъездах.
Как показывает практика что, только после принятия подобных мер жильцы понемногу начинают оплачивать долги, а к тем жильцам, которые не погашают образовавшуюся задолженность будет введено ограничение/приостановление водоотведения, а также приостановлено предоставление коммунальной услуги по электроснабжению.
Уточним, что управляющая компания «ЕДИНСТВО» совместно с АО «АтомЭнергоСбыт» ведут борьбу с должниками и обращается к собственникам многоквартирных домов, имеющих задолженность по содержанию и ремонту жилья, а также по электроснабжению. В случае не погашения имеющейся задолженности перед ООО «УК ЕДИНСТВО» и АО «АтомЭнергоСбыт» уведомляем Вас, что в соответствии с Правилами предоставления коммунальных услуг гражданам (утв. Постановлением Правительства РФ от 06.05.2011г. № 354) в случае наличия у потребителя задолженности по оплате коммунальных услуг, в отношении него может быть введено ограничение/приостановление водоотведения, а также приостановлено предоставление коммунальной услуги по электроснабжению. ООО «УК ЕДИНСТВО» уведомляет злостных неплательщиков имеющих задолженность по содержанию и ремонту жилья юристами управляющей компании уже собраны материалы для подачи исковых заявлений в мировой суд для погашения имеющейся задолженности в судебном порядке.
Управляющая компания предупреждает, что в соответствии со статьей 67 закона об исполнительном производстве на гражданина в судебном порядке может быть веден запрет на выезд за границу.
Если же у собственников нет возможности оплатить образовавшуюся задолженность сразу же, то мы прилагаем разбить ее по месяцам и заключить соглашение у нас офисе по адресу: г.Ярцево, ул. Карла Маркса, д.11.
Также если у Вас возникли финансовые сложности то просим Вас также придти в офис компании и заключить соглашение, чтобы избежать отключения электроэнергии или ограничения водоотведения. Главное уведомите нас о возникших финансовых трудностях.
 

Управляющая компания «ЕДИНСТВО» продолжает борьбу с должниками.

 

Управляющая компания «ЕДИНСТВО» продолжает борьбу с должниками.

 

Управляющая компания «ЕДИНСТВО» продолжает борьбу с должниками.

 

Управляющая компания «ЕДИНСТВО» продолжает борьбу с должниками.

 

Управляющая компания «ЕДИНСТВО» продолжает борьбу с должниками.

 

Управляющая компания «ЕДИНСТВО» продолжает борьбу с должниками.

 



 
   
 

Новое на сайте

20.07.2025 г. Создана страница массажной студии  "Арт Релакс массаж"
 

Создана страника РелексМассаж

 Что мы можем вам предложить??

Комплексы процедур по уменьшению веса, очищению организма, дряблая кожа уходит, а также незабываемый релакс и романтику - приходите с партнером


21.06.2025 г. Исполнилась годовщина со дня открытия образовательного центра по подготовке к ЕГЭ, ОГЭ, ВПР "На все 100".

Годовщина на все 100

Сооснователь центра Игорь Андреевич Алексеев

Пора задуматься о подготовке детей к новому учебному году и, в том числе, университетским экзаменам. Сильный преподавательский коллектив - вот что отличает образовательный центр на все 100

Что бы подробно ознакомиться с услугами центра, переходите по ссылке:

https://www.yartsevo.ru/news/9866-na-vse-100.html
29.05.2025 г. У нас открылась страница "Сауна Баня Ярцево"

Открылась страничка бани и сауны Энтузиастов

Новый банный комплекс (русская баня и финская сауна) 

8-910-710-02-20
Записывайтесь на удобное для Вас время прямо сейчас❗️
Наш адрес: г. Ярцево, ул. Энтузиастов, 46Б
Переходите по ссылке: https://www.yartsevo.ru/banya_sauna_yartsevo.html
Ждем вас в гости!

Автозапчасти для иномарок и отечественных автомобилей в наличии и на заказ

Магазин Автозапчасти

 Заказы принимаются ежедневно (Пн-Вс) до 21:00

8-951-719-6888 (WhatsApp, Telegram)
06.04.2025 г. Отрыта страница интернет - магазина автомобильных запчастей LM Parts67

Автополка страница

Автополка страница

Наш адрес:

г. Ярцево, ул. Максима Горького, дом 29 тел. +7 (920) 302-38-83

Подробности на нашей фирменной странице: https://www.yartsevo.ru/lm_parts67.html 


25.03.2025 года. Ночной клуб приглашает
Клубная музыка, дискотека.
Клуб находится в г. Ярцево, ул. Чайковского, в городском парке, в здании спортивно-развлекательного комплекса "Пирамида"
График работы: в субботу, с 22 00 до 05
Посмотреть как выглядит клуб внутри: https://www.yartsevo.ru/buta.html

Ночной клуб Бута Открытие страницы

 


 25.03.2025 года Окрыта новая страница
РЕМОНТ СТИРАЛЬНЫХ МАШИН
 
Анатолий 8-960-549-65-69
23.03.2025 года.  На нашем сайте появилась новая страница. Она стоит того, чтобы её посетить.
Искринка
Разожги Свои Чувства 

Открыта страница Искринки Свечи ручной работы

Тел. (Telegram, Whats-App) +7-(962)-190-06-42

 

Открыта страница Искринки Свечи ручной работы 

Открыта страница Искринки Свечи ручной работы 

 

Свечи ручной работы:
- Ароматические,
- Фигурные,
- Интерьерные,
- Аромасаше
Не забудь подписаться на этот телеграм канал!
22.03.2025 года.  Обновлен раздел мосты
Уважаемые читатели! Присылайте нам фотографии мостов Ярцевского района, рассказ об их истории и интересные случаи, связанные с ними.
15.03.2025 Создана страница столовой "Сыта - Хата".
Белорусская столовая была открыта в Мушковичах. Расположена с двух сторон трассы М-1

Открыта страница Сыта - Хата

 Посетить страницу "Сыта - Хата"  https://www.yartsevo.ru/syta-khata.html



Все новости сайта >>>


 
   
 

Интересное в сети

ЯрТим | YartsevoTeam
 Очень интересная группа для любителей активного отдыха и спорта. Жизнь в ней кипит круглый год.
Их кредо: "Мы за активный образ жизни. Если хочешь с пользой провести время, найти новых друзей и получить массу положительных эмоций, значит тебе к нам".
31.05.2024. Новая группа в ВК. Аватр Арена

 

В сети натолкнулся на интересную группу "Поэзия. Стихи. Чтец" 
Ярцевчане, оказывается любят поэзию. На данную группу пописаны на 25.03.2024 года - 2399 человек. 

 




08.03.2024 г. кафе "Килас Кура" (Хинкальная). 
Во первых, у них появился свой сайт. Во вторых, на сайте есть меню. В третьих, вы можете заказать доставку блюд на дом или в офис.
Вкусные шашлыки и блюда грузинской и европейской кухни. https://hinkalnaya.qr-cafe.ru/catalog
Как можно найти человека по номеру телефона на Химера Серч?
Поисковые порталы в интернете пользуются огромным спросом. Это связано с их способностью в считанные минуты выдавать информацию о любом человеке. При этом для поиска достаточно минимума данных. Например, номера телефона. Это ценный источник сведений, который позволит составить об абоненте собственное мнение на основании достоверных фактов. Как можно найти человека по номеру телефона на Himera Search и почему это может быть важно?


Все новости интернета >>>